東莞市望輝機械有限公司
http://www.wlsfjw.cn/
電 話:13923413250
郵 ?箱:xwh@xwhcnc.com
地 ?址:東莞市大朗鎮犀牛陂村雅瑤街(瓦窯街)35號
氮化鋁(AlN)是鋁的氮化物,是一種類金剛石氮化物的無機非金屬材料。值得注意的是,氮化鋁是少數具有高熱傳導性和出色的電絕緣特性這一有趣組合的高科技陶瓷材料,因此注定了氮化鋁會被廣泛應用于電器元件制造領域。除了可以氮化鋁粉體為原料,經過成型燒結后制成如電子基板、LED芯片載板外,還可將氮化鋁粉體與其他材料(如高分子、epoxy,玻璃粉等)混練制成高導熱、電絕緣之復合材料,如導熱膏、膠、墊片、半導體封裝材料,低溫共燒陶瓷等。

圖片
AlN基板及覆銅板
近年來電力和微電子應用的蓬勃發展,注定了氮化鋁的需求用量只會節節攀高。據資料顯示,全球每年高純氧化鋁的需求量約為20000噸,4N以上高純氧化鋁需求量約為7500t。因此氮化鋁粉體在工業生產制備上的研究受到了密切的關注,“高質高產”成為了該行業的主要發展目標。
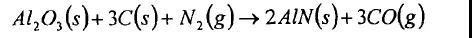
目前,氮化鋁粉體的合成方法主要有:鋁粉直接氮化法、碳熱還原法、自蔓延高溫法、化學氣相沉積等。其中采用高純氧化鋁碳熱還原法是最受廣大廠商青睞的方法,它是將氧化鋁粉體和碳粉的混合粉在高溫下(1400-1800℃)的流動氮氣中發生還原氮化反應生成氮化鋁粉體,反應方程式如下:

圖片
影響碳熱還原法合成粉末性能的因素有很多,包括鋁原的選擇、碳源的選擇、添加劑的選擇、碳鋁摩爾比、原料的分散與混合、煅燒工藝、二次除碳等,每一步都對降低成本和提高質量具有重要的意義。不過如果您對“高熱導率”尤其在意,那就必須要采用高純的氧化鋁粉體原料以保證氮化鋁產品具備低的雜質及低的氧含量。
高純氧化鋁的特性因制造方法和條件的迥異而不同,目前主要方法有改良拜耳法、硫酸鋁氨法、碳酸鋁氨法、活性高純鋁直接水解法、高純鋁膽堿水解法、醇鹽水解法等。到底哪種工藝生產的氧化鋁粉體更適合用于氮化鋁的制備呢?
氮化鋁陶瓷加工
氮化鋁陶瓷加工需要采用專業的陶瓷加工中心,鑫騰輝數控專業生產氮化鋁陶瓷加工中心,歡迎來電咨詢:15012558160。
|
鑫騰輝客服
|